En
首页
学院概况
学院简介
学院领导
机构设置
院长致辞
大事记
学院宣传片
师资队伍
师资简介
导师名录
行政管理
劳动与社会保障
工程管理
城市管理
城乡规划
土地资源管理
校外师资
人才招聘
人才培养
本科生
全日制研究生
非全日制研究生(MPA/MEM)
学科科研
学科建设
科学研究
党群工作
党建工作
教工之家
社会服务
国内培训
国际学训
咨询服务
线上培训
联系我们
学生工作
新闻动态
学生风采
招生就业
本科生
全日制研究生
非全日制研究生(MPA/MEM)
校友专栏
通知公告
校友风采
研究生
当前位置:
首页
>
通知公告
>
学生通知
>
研究生
>
正文
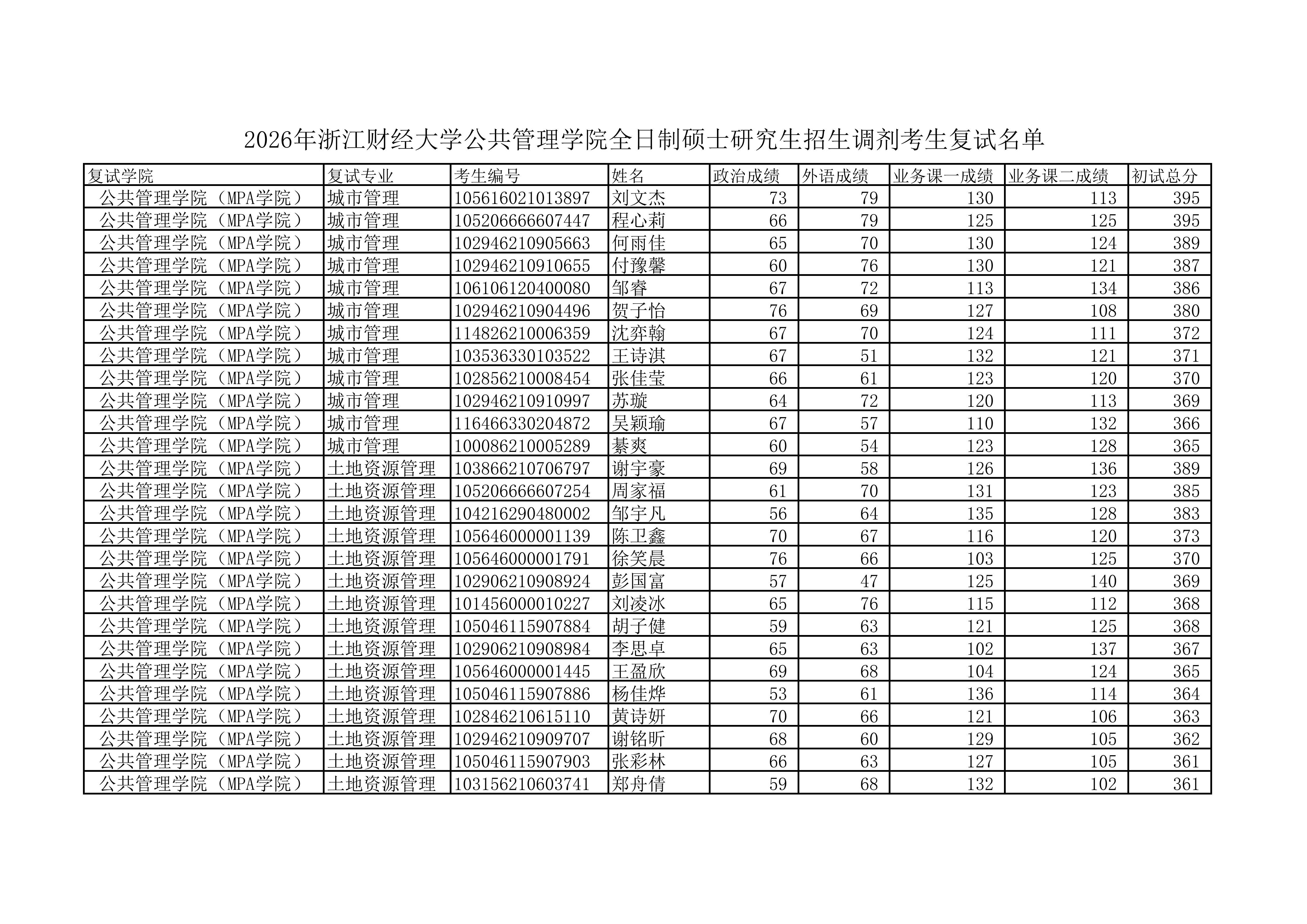
2026年浙江财经大学公共管理学院全日制硕士研究生招生调剂考生复试名单
日期:2026-04-08
点击数:
上一篇:
浙江财经大学公共管理学院2026年“申请考核制”博士研究生招生综合考核办法
下一篇:
讲座预告|新乡贤与乡村振兴